您好,欢迎进入xk星空体育直播平台官方网站!

与时俱进,诚赢客户

龙门吊、提梁机、星空体育官方账号生产厂家

服务电话:13782575673

起重资讯

您现在所在位置:首页>>xk星空体育网址

龙门吊大车结构型式对车轮群的总轮压影响分析

本文链接://www.xlhydra.com/xwzx/533.html   发布时间:2021-03-13 06:24:15  点击量:1182

  对大吨位(大于300t)龙门吊起重机,双梁四轨大车能减小小车的长度、高度和总重,对大车车轮群总轮压的分布有一定的影响。

  图4-49是龙门吊大车在大车轨道方向的受力力学模型,求力的平衡方程可得




  式中 P大1——靠近大车主梁走台外侧的车轮群总轮压,每一个车轮轮压为P大1/m;每一个角的车轮群数量为m;

  P大2——靠近大车主梁走台里侧的车轮群总轮压,每一个车轮轮压为P大2/m;每一个角的车轮群数量为m;

  C1、C2——主梁重心线*小车轨道1和轨道2中心线之间的距离;

  L1、L2——小车轨道1和轨道2中心线*主梁走台外侧车轮群中心线之间的距离。

  PZ、L同前。

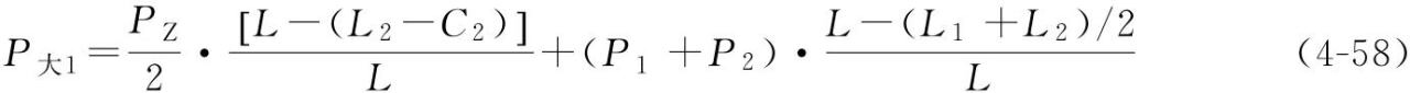
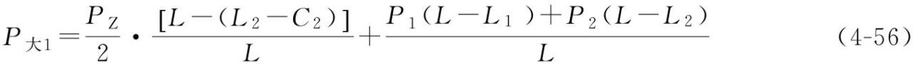
  实际产品设计中,一般都近似看待P1=P2=(P1+P2)/2,(P1+P2)可由式(4-49)计算出数值,由式(4-56)和式(4-57)可得实用公式:


  在设计参数都一样的前提下(包括小车总重都一样),对采用中龙门吊和大龙门吊结构的大车,假设(P1+P2)=P,主梁宽度和主梁*大载荷重心位置都一样(在大车轨道方向),把式(4-58)、式(4-59)和式(4-50)、式(4-51)相减,其差值大于零,说明中龙门吊的轮压(双轨)比大欧式的轮压(四轨)要小,也就是说大龙门吊的车轮群总轮压要大。

  由于中龙门吊的车轮组是沿单根轨道水平排布,必须设计较多的台车和平衡梁,使小车特别长,小车高度增大,吊钩中心*大车轨道中心线距离增大(有效吊距增大,工作范围变小),小车总重增大;大龙门吊的车轮群是沿双根轨道水平排布,只需设计较少的台车和平衡梁,小车长度较短,小车高度较小,小车总重也较小。

  事实上,在实践产品设计中,由于大龙门吊的结构使小车的总重减小可观,车轮群总轮压并没有比中欧式大车轮压大,大龙门吊大车轮压反而较小。显然,龙门吊大车有设计的实用价值,对大吨位(大于300t)大欧式起重机,采用双梁四轨的结构型式设计有诸多利好因素,是一种符合轻量化设计的合理选择。

文章聚合页面: 龙门吊

联系我们

CONTACT US

联系人:徐经理

手机:13782575673

电话:0373-8611375

邮箱:hnzyaqqz@126.com

官网:www.xlhydra.com

地址:河南长垣起重工业园区华豫大道中段

Baidu
map